Research Projects

The focus of my research is to improve understanding of the impacts of climate change and extreme weather events on range dynamics, population persistence, and extinction risk of vertebrates. My current research projects are focused on developing and testing the utility of realized thermal and aridity niche limits in predicting species’ responses to climate and extreme weather pressures.

Realized Niche Limits

Estimates of thermal and aridity niche limits help predict and understand variation in species’ responses to climate and land use pressures. For studies that address how species respond to climate change over broad geographical areas, I created a dataset of realized niche limits for 33,941 species of terrestrial vertebrates for (amphibians, birds, mammals, reptiles). Specifically, these datasets include monthly lower and upper realized thermal and aridity niche limits, along with yearly average estimates of niche limits. These datasets will be curated to expand taxonomic coverage of realized niche limits and facilitate evaluation of impacts of climate change on biodiversity.

Watson & Kerr (2025) Scientific Data

Maps of Thermal Position Index (A & B) and Aridity Position Index (C &D) over the range of Bombus pensylvanicus.

Thermal/Aridity Position Index

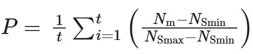
TPI and API use species-specific realized niche limits to scale environmental variables (temperature & Aridity Index). This provides an estimate of species position within their environment relative to their niche limits.

Where P is the species’ position in realized niche space assessed based on weather data over a time period of interest divided into t units (e.g. 12 if the time units are months), Nm is the environmental measurement for that area during that month, NSmax is the species’ upper realized niche limit, and NSmin is the species’ lower realized niche limit.

Select Publications: Kerr, Proc Biol Sci (2020); Watson & Kerr, Glob. Change Biol.(2025), Kerr et al., Nat. Rev. Biodivers.(2025)

rTPI - An R package for calculating Thermal and Aridity Position Indices for Terrestrial Vertebrates

I created this R package to allow users to access monthly and yearly average thermal and aridity niche limits for terrestrial vertebrates. rTPI also provides convenient functions for the calculation of TPI and API for the majority of terrestrial vertebrate species.

Citation: Watson, M. and Kerr, J. (2025) rTPI: Methods for Calculating Thermal and Aridity Position Index. R package version 0.1.0 <github.com/MacroEcoMatt/rTPI>